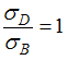
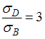
Изображение вопроса Отношение напряжений в точках D и В поперечного се...
Отношение напряжений в точках D и В поперечного сечения стержня равно…
• 
• 
• 
• 
Тема: Изгиб с растяжением-сжатием
Предмет: Сопротивление материалов