
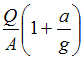
Груз весом Q подвешен на тросе и поднимается с постоянным ускорением а. Объемный вес материала троса
(вес единицы объема), площадь поперечного сечения А заданы. Нормальное напряжение в сечении троса на расстоянии z от нижнего конца равно …• 

• 

• 

• 
