
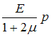
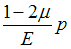
Стержень растянут усилиями, равномерно распределенными по его торцам с интенсивностью р. Модуль упругости Е и коэффициент Пуассона
материала стержня известны. Относительное изменение объема стержня равно …• 

• 

• 

• 


материала стержня известны. Относительное изменение объема стержня равно …


