
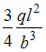
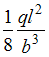
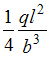
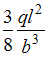
Схема нагружения балки квадратного поперечного сечения показана на рисунке. Величины: q – интенсивность равномерно распределенной нагрузки; Е − модуль упругости материала; b и l – линейные размеры – заданы. Значение максимального нормального напряжения равно …
• 

• 

• 

• 
