Изображение вопроса Стержень круглого сечения диаметром d нагружен сил...
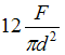
Стержень круглого сечения диаметром d нагружен силой F. Значение максимального нормального напряжения равно …
• 
• 
• 
• 
Тема: Изгиб с растяжением - сжатием
Предмет: Сопротивление материалов