
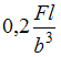
Стержень длиной
прямоугольного сечения с размерами
нагружен силой F, лежащей в плоскости сечения. Значение нормального напряжения в точке А равно …• 

• 

• 

• 


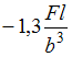
прямоугольного сечения с размерами
нагружен силой F, лежащей в плоскости сечения. Значение нормального напряжения в точке А равно …


