
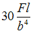
Стержень квадратного сечения нагружен внешними силами F и 2F. Линейные размеры
и
заданы. Значение максимального растягивающего нормального напряжения в стержне равно …• 

• 

• 

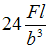
• 


и
заданы. Значение максимального растягивающего нормального напряжения в стержне равно …


