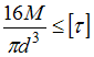
Изображение вопроса Условие прочности по допускаемым напряжениям для с...
Условие прочности по допускаемым напряжениям для ступенчатого вала, изображенного на рисунке, имеет вид ____. Значения М, d и Изображение вопроса Условие прочности по допускаемым напряжениям для с... заданы.
• 
• 
• 
• 
Тема: Расчет на прочность при кручении
Предмет: Сопротивление материалов