
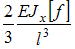
Консольная балка длиной 2l нагружена внешними силами. Жесткость поперечного сечения на изгиб
по длине постоянна. Прогиб концевого сечения достигнет величины
когда значение силы F равно … (Влиянием поперечной силы на величину прогиба пренебречь).• 

• 

• 

• 
