
Стержень круглого сечения диаметром
длиной
нагружен силой F. Значение эквивалентного напряжения в опасной точке стержня, по теории удельной потенциальной энергии формоизменения, равно …• 

• 

• 

• 


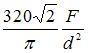
длиной
нагружен силой F. Значение эквивалентного напряжения в опасной точке стержня, по теории удельной потенциальной энергии формоизменения, равно …


