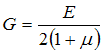
Формула, которая связывает упругие постоянные изотропного материала, имеет вид …
• 
• 
• 
• 
Тема: Механические свойства и механические характеристики материалов
Предмет: Сопротивление материалов