
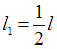
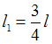
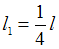
Две балки одинакового поперечного сечения изготовлены из одного материала и нагружены равномерно распределенной нагрузкой с интенсивностью q. Балки будут равнопрочны, когда длина консоли
равна _____. Влиянием касательных напряжений пренебречь.• 

• 

• 

• 
