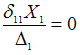
Каноническое уравнение метода сил для системы один раз статически неопределимой имеет вид …
• 
• 
• 
• 
Тема: Метод сил
Предмет: Сопротивление материалов