Изображение вопроса Стержень изготовлен из изотропного материала (см. ...
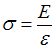
Стержень изготовлен из изотропного материала (см. рисунок) и работает в линейно-упругой области. Связь между продольной деформацией и нормальными напряжениями в поперечном сечении имеет вид …
• 
• 
• 
• 
Тема: Продольная сила. Напряжения и деформации
Предмет: Сопротивление материалов