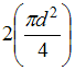
Изображение вопроса При расчете заклепки на срез величина площади срез...
При расчете заклепки на срез величина площади среза равна…
• 
• 
• 
• 
Тема: Чистый сдвиг. Расчет на сдвиг (срез)
Предмет: Сопротивление материалов