Изображение вопроса Напряженное состояние в точке показано рисунке. Зн...
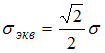
Напряженное состояние в точке показано рисунке. Значение эквивалентного напряжения по критерию удельной потенциальной энергии формоизменения (четвертая теория прочности) равно...
• 
• 
• 
• 
Тема: Оценка прочности материала при сложном напряженном состоянии. Теории прочности
Предмет: Сопротивление материалов