
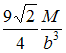
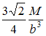
Поперечное сечение стержня прямоугольник с размерами b и 2b. Плоскость действия изгибающего момента М расположена над углом
к главным центральным осям. Значение максимального нормального напряжения в данном сечении равно …• 

• 

• 

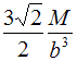
• 


к главным центральным осям. Значение максимального нормального напряжения в данном сечении равно …


