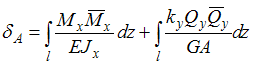
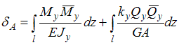
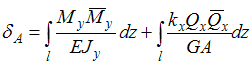
Изображение вопроса Для балки, изображенной на рисунке, требуется опре...
Для балки, изображенной на рисунке, требуется определить абсолютное перемещение сечения А. Выражение … позволит наиболее точно определить данное перемещение.
• 
• 
• 
• 
Тема: Определение перемещений с помощью интегралов Мора. Правило Верещагина
Предмет: Сопротивление материалов