Изображение вопроса Схема закрепления сжатого стержня представлена на ...
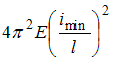
Схема закрепления сжатого стержня представлена на рисунке. Значение критического напряжения определяется по формуле _____ . При решении задачи учесть, что напряжение в сжатом стержне не превышает предела пропорциональности.
• 
• 
• 
• 
Тема: Влияние условий закрепления концов стержня на величину критической силы
Предмет: Сопротивление материалов