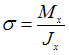
Для определения нормальных напряжений в точках поперечного сечения балки при плоском изгибе используется формула …
• 
• 
• 
• 
Тема: Напряжения в поперечном сечении стержня при плоском изгибе
Предмет: Сопротивление материалов