
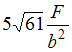
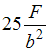
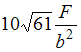
Стержень квадратного поперечного сечения с размерами
нагружен силой F. Значение эквивалентного напряжения в опасной точке, по теории наибольших касательных напряжений, равно ___ . При решении принять 
• 

• 

• 

• 


нагружен силой F. Значение эквивалентного напряжения в опасной точке, по теории наибольших касательных напряжений, равно ___ . При решении принять 



