
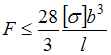
Консольная балка нагружена, как показано на схеме. Материал балки одинаково работает на растяжение и сжатие. Допускаемое напряжение
, размеры b и l заданы. Из расчета по допускаемым напряжениям значение силы …• 

• 

• 

• 


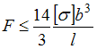
, размеры b и l заданы. Из расчета по допускаемым напряжениям значение силы …


