Метрология, стандартизация и сертификация – страница 7
Поверка, при которой значения метрологических характеристик средств измерений устанавливают по метрологическим характеристикам элементов или частей средств, называется …
Метрологической организацией, выполняющей функции главного центра государственных эталонов, занимающейся параметрами расхода, объема веществ, является …
Зависимость между значениями величин на входе и на выходе средств измерений, полученная экспериментально, называется …
Измерения, изменяющиеся по размеру физической величины на протяжении времени измерения, являются ___________ измерениями.
Физические величины, описывающие физические и физико-химические свойства веществ, материалов и изделий из них, относятся к группе _____ физических величин.
Если при измерении напряжения двумя вольтметрами у первого класс точности – 1,0, предел измерения – 300 В, а у второго соответственно – 2,5 и 250 В, то набольшая возможная разница показаний равна ______ В.
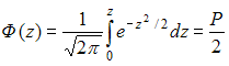
Определенный интеграл вида
называют …
называют …Составляющая погрешности результата измерения, изменяющаяся случайным образом, называется …
Для измерения тока использованы четыре прибора, имеющие следующие характеристики: первый – класса точности 0,1 с пределом измерения 15 мА; второй – класса точности 0,1 с пределом измерения 100 мА; третий – класса точности 0,5 с пределом измерения 15 мА; четвертый – класса точности 0,5 с пределом измерения 30 мА. Наибольшую точность измерения тока 10 мА обеспечит миллиамперметр …
В основе преобразования рядов размеров в строительных стандартах при установлении размеров изделий в обувной и швейной промышленности лежит …
Независимость органов по аккредитации и сертификации от изготовителей, продавцов, исполнителей и приобретателей является …