Метрология, стандартизация и сертификация – страница 45
Наибольшее расстояние от точек реального профиля до прилегающей окружности цилиндрической поверхности называется отклонением …
Интенсивность нагрузки на посадочную поверхность кольца подшипника может быть рассчитана по формуле
где b – …
где b – …На данном рисунке

показано упрощенное обозначение шероховатости поверхностей с _______ направлением неровностей.

показано упрощенное обозначение шероховатости поверхностей с _______ направлением неровностей.
Отклонение угла между прилегающей и базовой плоскостью от номинального угла называется …
6
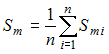
– формула для расчета …
– формула для расчета …7
– формула для расчета _________ профиля.
– формула для расчета _________ профиля.При высокой относительной геометрической точности (уровень С) допуски формы и расположения составляют примерно ___ % допуска размера.
Нагружение, при котором кольцо подшипника воспринимает результирующую радиальную нагрузку последовательно всей окружностью дорожки качения и передает ее всей посадочной поверхности вала или корпуса, называется …
Допуск формы или расположения, минимальное значение которого указывается в чертежах или технических требованиях и который разрешается превышать на величину, соответствующую отклонению действительного размера детали от проходного предела, называется …
Основным рядом допусков для всех диаметров резьб является _____ степень точности.
В обозначении подшипника А 125 – 205 «1» – …
Среднее арифметическое значение шага неровностей профиля в пределах базовой линии называется …