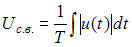
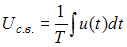
Среднее квадратическое значение измеряемого напряжения определяется по формуле …
• 
• 
• 
• 
Тема: Электрический сигнал и его формы
Предмет: Метрология, стандартизация и сертификация