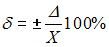
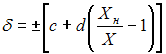
Относительная погрешность цифрового измерительного прибора может быть представлена выражением …
• 
• 
• 
• 
Тема: Цифровые измерительные приборы (ЦИП)
Предмет: Метрология, стандартизация и сертификация