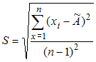
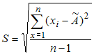
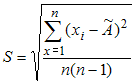
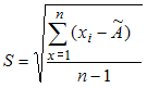
Среднеквадратическая погрешность (СКП) результатов единичных измерений в ряду измерений вычисляется по формуле …
• 
• 
• 
• 
Тема: Обработка результатов многократных измерений
Предмет: Метрология, стандартизация и сертификация