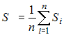
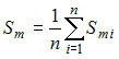
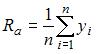
Средний шаг неровностей профиля по вершинам рассчитывается по формуле …
• 
• 
• 
• 
Тема: Шероховатость поверхностей
Предмет: Метрология, стандартизация и сертификация