Механика (Теплотехника) – страница 19
В соответствии с эффектом Джоуля – Томсона при дросселировании идеального газа температура …
Смесь идеальных газов состоит из двух компонентов. Их парциальные давления равны р1 = 1000 Па, р2 = 100 Па. Полное давление смеси в кПа равно …
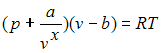
Показатель степени x в уравнении Ван – дер – Ваальса
равен …
равен …9 
Если изменение внутренней энергии в процессе 1 – 2, показанном на рисунке, равно 120 кДж/кг, то работа расширения составляет ____ кДж/кг.

Если изменение внутренней энергии в процессе 1 – 2, показанном на рисунке, равно 120 кДж/кг, то работа расширения составляет ____ кДж/кг.
Рабочим телом является аргон. Его показатель адиабаты при t = 0°C в идеально-газовом состоянии равен …



