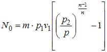
Теоретическая мощность привода компрессора вычисляется по формуле …
• 
• 
• 
• 
Тема: Термодинамический анализ процессов в компрессорах
Предмет: Механика (Теплотехника)