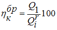
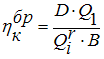
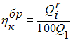
КПД котла «брутто» методом прямого баланса рассчитывается по формуле …
• 
• 
• 
• 
Тема: Расчет КПД, расхода топлива и полезно использованной в котле теплоты
Предмет: Механика (Теплотехника)