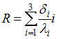
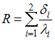
Термическое сопротивление трехслойной однородной плоской стенки вычисляется по формуле …
• 
• 
• 
• 
Тема: Теплопроводность при стационарном режиме
Предмет: Механика (Теплотехника)