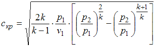
Критическая скорость в устье сопла при истечении идеального газа в окружающую среду с давлением, равным или ниже критического, вычисляется по формуле …
• 
• 
• 
• 
Тема: Сопла и диффузоры
Предмет: Механика (Теплотехника)