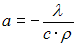
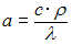
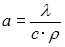
Коэффициент температуропроводности вычисляется по формуле …
• 
• 
• 
• 
Тема: Теплопроводность
Предмет: Механика (Теплотехника)