Изображение вопроса Истинная теплоемкость в точке «а» предст...
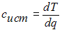
Истинная теплоемкость в точке «а» представленного графика вычисляется по формуле …
• 
• 
• 
• 
Тема: Теплоемкость
Предмет: Механика (Теплотехника)