Изображение вопроса Если выработанная генератором КЭС электроэнергия и...
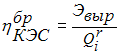
Если выработанная генератором КЭС электроэнергия измеряется в кДж, то КПД «брутто» КЭС, принципиальная схема которой представлена на рисунке, вычисляется по формуле …
• 
• 
• 
• 
Тема: Коэффициент полезного действия ТЭС
Предмет: Механика (Теплотехника)