Изображение вопроса Термический КПД цикла, представленного на графике,...
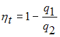
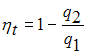
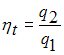
Термический КПД цикла, представленного на графике, определяется соотношением …
• 
• 
• 
• 
Тема: Второй закон термодинамики
Предмет: Механика (Теплотехника)