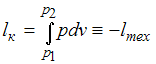
Работа компрессора, затрачиваемая на получение 1 кг сжатого газа, выражается формулой …
• 
• 
• 
• 
Тема: Термодинамический анализ процессов в компрессорах
Предмет: Механика (Теплотехника)