Изображение вопроса Соотношение между давлениями и удельными объемами ...
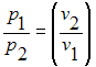
Соотношение между давлениями и удельными объемами в процессе 1 – 2, показанном на графике, представлено формулой …
• 
• 
• 
• 
Тема: Термодинамические процессы идеальных газов
Предмет: Механика (Теплотехника)