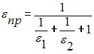
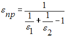
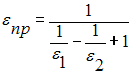
Изображение вопроса Если F1 = F2, то приведенная степень черноты  сист...
Если F1 = F2, то приведенная степень черноты Изображение вопроса Если F1 = F2, то приведенная степень черноты  сист... системы тел, изображенных на рисунке, равна …
• 
• 
• 
• 
Тема: Теплообмен излучением системы тел в прозрачной среде
Предмет: Механика (Теплотехника)