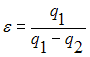
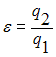
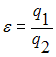
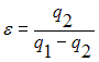
Формула для вычисления холодильного коэффициента …
• 
• 
• 
• 
Тема: Второй закон термодинамики
Предмет: Механика (Теплотехника)