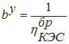
Удельный расход условного топлива на выработку 1 кВт·ч электрической энергии КЭС в кг/кВт·ч выражается формулой …
• 
• 
• 
• 
Тема: Технико-экономические показатели КЭС и ТЭЦ
Предмет: Механика (Теплотехника)