Изображение вопроса Количество теплоты в процессе 1 – 2, показан...
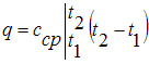
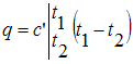
Количество теплоты в процессе 1 – 2, показанном на графике, определяется по формуле …
• 
• 
• 
• 
Тема: Теплоемкость
Предмет: Механика (Теплотехника)