Изображение вопроса Расчетная формула для приведенной степени черноты ...
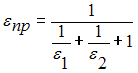
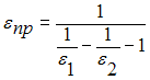
Расчетная формула для приведенной степени черноты системы из 2-х тел, когда одна теплообменная поверхность (F1) охватывается другой (F2), как показано на рисунке, имеет вид …
• 
• 
• 
• 
Тема: Теплообмен излучением системы тел в прозрачной среде
Предмет: Механика (Теплотехника)