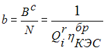
Удельный расход топлива на выработку электрической энергии КЭС в кДж/кг выражается формулой …
• 
• 
• 
• 
Тема: Технико-экономические показатели КЭС и ТЭЦ
Предмет: Механика (Теплотехника)