Изображение вопроса Тепловой поток теплопроводностью через однородную ...
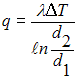
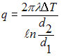
Тепловой поток теплопроводностью через однородную цилиндрическую стенку, изображенную на рисунке, вычисляется по формуле …
• 
• 
• 
• 
Тема: Теплопроводность при стационарном режиме
Предмет: Механика (Теплотехника)