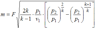
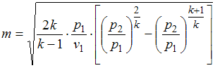
Массовый расход идеального газа из суживающегося сопла вычисляется по уравнению …
• 
• 
• 
• 
Тема: Сопла и диффузоры
Предмет: Механика (Теплотехника)