Изображение вопроса В процессе теплопередачи, представленной на рисунк...
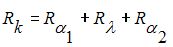
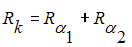
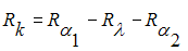
В процессе теплопередачи, представленной на рисунке, общее термическое сопротивление передаче теплоты вычисляется по формуле …
• 
• 
• 
• 
Тема: Теплопередача
Предмет: Механика (Теплотехника)