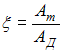
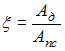
Коэффициент механических потерь механизма ξ вычисляется по формуле _____________ (Апс – работа сил полезного сопротивления за время одного цикла;
– работа сил движущих за время одного цикла; Ат – работа, связанная с преодолением сил трения в кинематических парах и сил сопротивления среды).
– работа сил движущих за время одного цикла; Ат – работа, связанная с преодолением сил трения в кинематических парах и сил сопротивления среды).• 

• 

• 

• 
