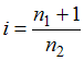
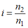
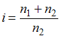
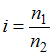
Передаточное отношение редуктора i при известных скоростях вращения ведущего n1  и ведомого валов n2 вычисляется по формуле …
Изображение вопроса Передаточное отношение редуктора i при известных с...
• 
• 
• 
• 
Тема: Кинематический анализ зубчатых механизмов
Предмет: Механика (Теория механизмов и машин)